数値積分は解析的に積分することが難しい問題を近似的に解くための大変便利な手法ですヽ( ´ー`)ノ
有限要素法でも剛性マトリックスや等価節点力ベクトルの作成などで多用されます
以前モンテカルロ法で扱った解法も広義の意味で数値積分になります
今回はNewton-Cotes積分の重み値を計算してみます
久田俊明,野口裕久共著「非線形有限要素法の基礎と応用」163頁[3.5.2]をフォローします
newton-cotes1.wxm

n : サンプリング点の数
a, b : 積分区間
l : 積分区間長さ(%o3)
%i1にてパッケージ"interpol"をロードします(画面出力は省略)
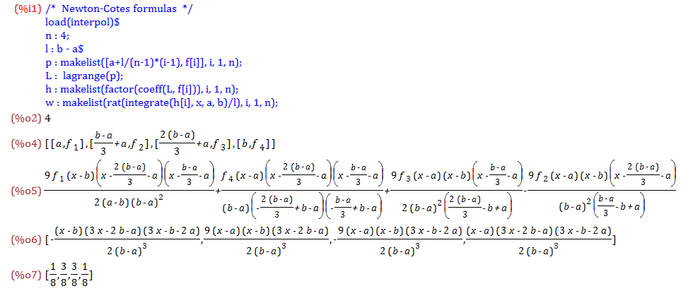
サンプリング点が4点の場合を考えます(%o2)
Newton-Cotes積分のサンプリング点は両端を含んで等間隔となります
サンプリング点位置x[i]と評価値f[i]の配列pを%o4式に示します
この配列からlagrange関数を使ってラグランジュの補間多項式Lを計算します(%o5)
Lの各サンプリング点の評価値f[i]についての係数配列hを%o6式に示します
それぞれのh[i]を区間[a〜b]で積分し,lで除した配列を重み値wとして%o7式に示します
Newton-Cotes積分における各サンプリング点での重み値を以下にまとめます
n w 2 1/2, 1/2 3 1/6, 2/3, 1/6 4 1/8, 3/8, 3/8, 1/8 5 7/90, 16/45, 2/15, 16/45, 7/90 6 19/288, 25/96, 25/144, 25/144, 25/96, 19/288 7 41/840, 9/35, 9/280, 34/105, 9/280, 9/35, 41/840 8 751/17280, 3577/17280, 49/640, 2989/17280, 2989/17280, 49/640, 3577/17280, 751/17280
※w' = w*l
n = 2 の場合を特に台形公式(Trapezoidal rule),n = 3 の場合をシンプソンの公式(Simpson's rule)と呼びます

- 作者: 久田俊明,野口裕久
- 出版社/メーカー: 丸善
- 発売日: 1996/01/01
- メディア: 単行本
- クリック: 3回
- この商品を含むブログを見る
