降伏条件や構成式等で主不変量を使いましたが,これってホントに不変なの?というのが今回のお話です
任意の剛体回転に対してテンソルの主不変量が変化しないのか実際に確認してみます(´-`).。oO
principal invariant2.wxm

%i1はトレースを計算する関数を使うための宣言です(主不変量 その1を参照ください)
3x3の任意の正方行列Xを%o4式に示します
1次,2次,3次の主不変量を返す関数I, II, IIIをそれぞれ%o5〜7式に示します

e[1]軸周りにa[rad]回転する剛体回転R1を%o8式に示します
同様に,e[2]軸周りにb[rad],e[3]軸周りにc[rad]回転する剛体回転をそれぞれR2, R3として%o9および10式に示します
任意の剛体回転RはR1〜R3のdot積として%o11式で与えられます

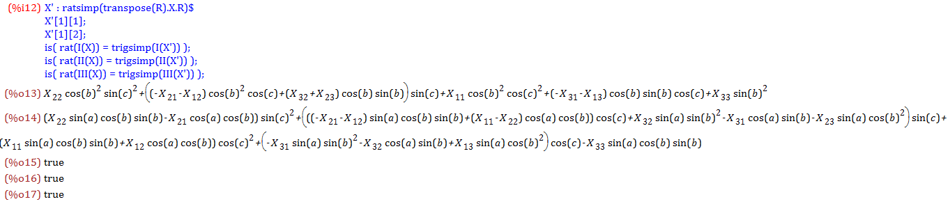
(%i12)RによってXを変換してまとめた結果をX'とします(画面出力は省略)
X'をすべて成分表示すると出力が長すぎるので1行1列と1行2列の成分のみ%o13および14式に示します
X'の各主不変量が変化していないことをそれぞれ%o15〜17式に示します
ということで,主不変量が任意の剛体回転に対して不変であることが解ります
- 任意の剛体回転Rは直交行列です(%o18)
- Rのdeterminantは1となります(%o19)

- 作者: 今井淳,中村博昭,寺尾宏明
- 出版社/メーカー: 筑摩書房
- 発売日: 2013/03/01
- メディア: 文庫
- この商品を含むブログ (3件) を見る
